Toggle navigation
首页
精品软件
学习资料库
柒号仓库
陆号仓库
伍号仓库
肆号仓库
叁号仓库
贰号仓库
壹号仓库
会员
中心
登录
注册
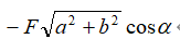
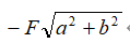
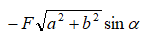
如图所示,一力
F
作用于A点,则该力对O点的矩为( )。
A、
-Fb
B、
C、
D、
答案:
内容已经隐藏,点击付费后查看
请联系我
商务合作、广告投放、题目勘误、侵权投诉
QQ
微信
一力
工程力学
推荐内容
如图所示,一力F作用于A点,则该力对O点的矩为( )。
如图所示,一力F作用于A点,则该力对O点的矩为( )。
评论列表
共有
0
条评论
暂无评论
发表评论
取消回复
登录
注册新账号
立即
投稿
发表
评论
返回
顶部
发表评论 取消回复