Toggle navigation
首页
精品软件
学习资料库
柒号仓库
陆号仓库
伍号仓库
肆号仓库
叁号仓库
贰号仓库
壹号仓库
会员
中心
登录
注册
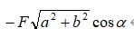
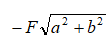
如图所示,一力
F
作用于A点,则该力对O点的矩为( )。
A、
B、
C、
D、
答案:
内容已经隐藏,点击付费后查看
请联系我
商务合作、广告投放、题目勘误、侵权投诉
QQ
微信
一体化
一力
专科
工程力学
技术
机电一体化技术
推荐内容
步进电动机驱动电路每接受一个指令脉冲,就控制步进电动机转过一个固定的角度,称为 ,这个固定的角度即对应于工作台移动一个位移值,称为 。
脉冲编码器是一种旋转式的角位移的传感器,也可用于测量转速。
样条曲线不能用下面的( )命令进行编辑
自由锻锤的吨位大小是以( )来表示的。
评论列表
共有
0
条评论
暂无评论
发表评论
取消回复
登录
注册新账号
立即
投稿
发表
评论
返回
顶部
发表评论 取消回复