Toggle navigation
首页
精品软件
学习资料库
柒号仓库
陆号仓库
伍号仓库
肆号仓库
叁号仓库
贰号仓库
壹号仓库
会员
中心
登录
注册
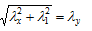
双肢缀条式轴压杆件绕虚轴
x
和实轴
y
等稳定的条件是
。
A、
B、
C、
D、
答案:
内容已经隐藏,点击付费后查看
请联系我
商务合作、广告投放、题目勘误、侵权投诉
QQ
微信
土木工程
条件
虚轴
推荐内容
海洋与深水基础.pdf
党的十八大以来,党中央把握发展阶段新变化,把逐步实现全体人民共同富裕摆在更加重要的位置上,通过( )等举措,为促进共同富裕创造了良好条件。①推动区域协调发展 ②采取有力措施保障和改善民生 ③打赢脱贫攻坚战 ④全面建成小康社会
在完全竞争市场上,厂商短期均衡条件是( )
评价一个投资方案的可行性须满足下列条件( )。
评论列表
共有
0
条评论
暂无评论
发表评论
取消回复
登录
注册新账号
立即
投稿
发表
评论
返回
顶部
发表评论 取消回复