Toggle navigation
首页
精品软件
学习资料库
柒号仓库
陆号仓库
伍号仓库
肆号仓库
叁号仓库
贰号仓库
壹号仓库
会员
中心
登录
注册
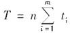
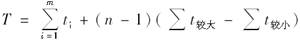
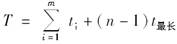
将一个批次的该零件全部生产出来用时最短的零件移动方式,其生产周期的计算公式是( )。
A.
B.
C.
D.
【答案】
内容已经隐藏,点击付费后查看
【解析】
内容已经隐藏,点击付费后查看
请联系我
商务合作、广告投放、题目勘误、侵权投诉
QQ
微信
工商管理
章节
视频
部分
推荐内容
全球化进程中公司治理与政府治理变革.pdf
外商直接投资的环境外部效应研究.pdf
西班牙语基础入门教程.mp4
葡萄牙语情景会话教程.mp4
评论列表
共有
0
条评论
暂无评论
发表评论
取消回复
登录
注册新账号
立即
投稿
发表
评论
返回
顶部
发表评论 取消回复